The Food System & Climate Change

Contributor: Audrey Watson


Context

The average American adult (as of 2011) eats 1,996 pounds of food a year. That’s a whole lot of food. But where does this food come from, and how does its production, consumption, and disposal relate to the growing climate crisis? This research seeks to answer that question, as well as shed light on some changes that the average person can make to eat a more sustainable diet.

Altogether, the food system is estimated to contribute 20-30% of all human-made greenhouse gas emissions. About 24% of that contribution comes from farming/agriculture and land-use change:

  • Farming/agriculture refers to the actual process of producing food products

  • Land-use change is the human transformation of the planet’s natural landscape

An approximate 5-10% of the contribution comes from later stages in the food system: processing, packaging, transport, retail, preparation, and waste disposal.

The major agricultural greenhouse gases consist of:

  • Carbon dioxide

    • Creating by the burning of fossil fuels

    • Less potent, but exists in large quantities

  • Methane

    • Comes from cows, dung, rice paddies, and waste

    • Smaller amount, but very potent

  • Nitrous oxide

    • Soils, dung, urine

    • Smaller amount, but extremely potent

Agriculture also causes a lot of harm with deforestation practices, contributing to 75% of all deforestation across the globe. If current trends continue, we will have cleared over 10 million more square kilometers of land by 2050, even though alternative methods would only require the clearing of 2 million square kilometers. Since trees absorb carbon dioxide from the atmosphere, their decreasing levels will only accelerate climate change and global warming. The habitats of many already endangered species will be harmed, making them that much more susceptible to a reduction in population.


Animal Agriculture

Animal agriculture is the process of breeding and using animals for food production for humans. It is one of the largest contributors to GHG emissions. This sector occupies over 30% of the world’s ice-free surface and accounts for nearly 18% of all global emissions, while the transportation sector only produces about 14% of those emissions. The entire agricultural sector, including forestry and other land use, accounts for 24% of all emissions. In the US, animal farming accounts for 42% of all agricultural emissions. 

global_emissions_sector_2015.png

Other sources of global GHG emissions include:

  • 21% from industry

  • 25% from electricity/heat production

  • 6% from buildings

  • 10% from other energy

Emissions from animal agriculture are particularly significant because they are largely made up of methane, which is 20 times more potent than carbon dioxide. Livestock, especially ruminants such as cattle, naturally produce methane in a process called enteric fermentation. This is a natural part of their digestive process, and occurs when bacteria, protozoa, and fungi in the fore-stomach (rumen) of the animal break down the plant biomass consumed by the animal. The process is essential to provide for the major energy needs of the animal. These emissions also include nitrous oxide, which is 10 to 15 times as potent as methane. Animal agriculture accounts for 37% of human-made methane emissions, and 65% of human-made nitrous oxide emissions.

Manure storage is a process that causes both methane and nitrous oxide emissions. In anaerobic conditions - where this is an absence of free oxygen - organic matter is partly decomposed by bacteria, producing those emissions. If manure is stored in a liquid form in a tank or lagoon, it promotes an anaerobic environment, increasing methane emissions.

Total emissions from animal agriculture come from:

  • 65% cattle (5,024 million tons CO2 equivalent)

    • 41% from beef, 20% from dairy

  • 9% pig meat (819 mil tons CO2-EQ)

  • 8% chicken meat and eggs (766 mil tons CO2-EQ)

  • 8% buffalo milk and meat (790 mil tons CO2-EQ)

  • 6% small ruminant (goats and sheep) milk and meat (596 mil tons CO2-EQ)

  • The rest comes from other poultry species/non-edible products (82 mil tons CO2-EQ)


pasted image 0.png

These numbers include manure production and disposal from each species. If broken down by type, the dominant GHG emissions from animal agriculture are as follows:

  • 25% methane from animals

  • 32% from land use and land use change

  • 31% nitrous oxide from manure and slurry management


Animal Feed Production

Globally, 60% of all biomass harvested goes towards animal agriculture as feed or bedding material. In 2000, livestock around the world consumed 4.7 billion tons of feed biomass, with ruminants (mainly cows) consuming the largest portion (3.7 billion tons). Feed production accounts for 45% of all emissions from the livestock sector. This total is broken down as follows:

  • 60-80% from eggs, chicken, and pork

  • 35-45% from milk and beef

    • Emissions from feed production for ruminants are lower because the methane produced in feed production is dominant.

Carbon dioxide and nitrous oxide are the dominant greenhouse gases in this sector. Land use and land use change are the largest sources of these emissions. It’s estimated that of the 18% global emissions from animal agriculture, ⅓ results from forest clearance in order to increase cultivation of feed crops.

In addition, different types of livestock need different types of feed:

  • Pigs and poultry consume 78% of feed grain

  • Cattle consume 83% of fibrous feeds, and ⅔ of this is used for meat production

  • Dairy cows consume 22% of feed grain and around 15% of fibrous feeds

  • The remaining amounts of fibrous feeds are used for small ruminant meat production

Feed grain: processed grains used in animal feed

Fibrous feeds: natural forage such as hay and grass


Crop Production

The largest contributor to total GHGs across all crops is nitrous oxide, which produces 44% of all emissions in this sector. Within that total, canola and crops grown for grain (barley, corn, and wheat) have the highest GHG intensity.

Most higher-yield crops have a lower GHG intensity. Miscanthus has the lowest intensity of all crops, which was mainly caused by its high yield potential.

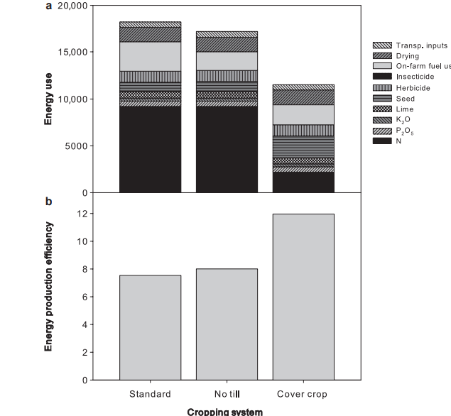
Crop management practices can also have a large impact on sustainability and GHGs in crop production. When three different corn production scenarios - tillage farming with synthetic N (nitrogen) fertilizer (standard practice), no-till farming with synthetic N fertilizer, and no-till farming with a legume cover crop - were compared, synthetic N fertilizer was found to have the largest energy input. In the no-till scenarios, a 6% reduction in overall energy use and a 3% reduction in GHG emissions was seen. Compared with standard practice, the no-till cover crop scenario led to a 37% decrease in energy use and a 42% reduction in GHG emissions.

pasted image 0 (2).png

The GHG emissions caused by synthetic N fertilizer make up 78% of all nitrous oxide emissions from crop production, while the other 22% comes from crop residues. Lime, a substance applied to agricultural lands where the synthetic fertilizer is commonly used, causes 74% of CO2 emissions in this sector. The other 26% comes from urea, another substance used to supplement synthetic N fertilizer in crop production. In total, nitrous oxide makes up 81% of emissions from the synthetic fertilizer, and the other 19% is made up of CO2 from urea.

Agricultural practices can also harm soil quality in a variety of ways:

  • Synthetic fertilizers, as well as pesticides and other additives to the soil, can pollute water run-off from the soil and cause harm to people and wildlife.

  • Careless watering practices can cause waterlogging to occur.

    • Waterlogging is excessively saturating soil with water

  • Chemicals and other artificial substances can increase salt levels in soil, which harms the growing of crops.

If, in the long run, these practices continue to degrade soil, we would eventually have very little quality soil to use in farming.


Food Waste Disposal

Food waste has become a huge problem throughout the world, with so many consumers carelessly buying too much food and then throwing the extra away. In the US, we waste 40% of all food that gets produced. Globally, this process accounts for the wasting of ¼ of our water supply, which costs us $172 billion. We waste almost 70 million tons of food that cost us an additional $220 billion to produce. 

This uses up:

  • 18% of our cropland 

  • 21% of our freshwater

  • 19% of fertilizer

  • 21% of our landfill volume 

Food waste also causes a lot of greenhouse gas emissions. Food disposal in landfills creates a significant source of methane. Across the world, Municipal Solid Waste (MSW) landfills cause 14.1% of all methane emissions, and are the third largest source in the world.

More than 50% of this waste occurs during the “upstream” phases of the food system, including the production, yield handling, and storage of the food. The remaining waste occurs during the “downstream” phases, or the processing, distribution, and consumption of food.


Conclusion

It’s obvious that agriculture has so many harmful effects on our environment. Animal agriculture, in particular, accounts for a large portion of these effects. Unfortunately, it’s become mainstream to consume large amounts of meat, dairy, and eggs. There are many plant-based alternatives available that make it easy to reduce your consumption of animal products. Because beef is known to be the biggest contributor to agricultural GHG emissions, reducing or eliminating your consumption of it can be a great way to start making your own impact. Eating a mainly plant-based diet will reduce your environmental impact by a great amount.

Additionally, food waste causes a lot of greenhouse gas emissions and other environmental impacts. When you buy food, make sure you buy it for a reason. Human society should work together towards decreasing the amount of food waste we produce in order to reduce environmental impacts and provide food for people that desperately need it.

PSCI